2015년07월04일 9번
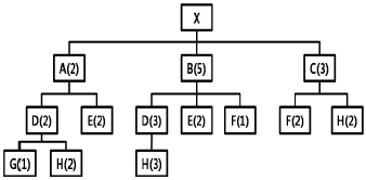
[보관하역론] 다음 자재명세서(BOM: Bill Of Material)를 가지는 제품 X의 소요량이 50개일 때, 부품 H의 소요량은? (단, ( )안의 숫자는 상위품목 한 단위당 필요한 해당 품목의 소요량)

- ① 1,950개
- ② 2,450개
- ③ 2,950개
- ④ 3,450개
- 3,950개
(정답률: 56%)
문제 해설
부품 H는 상위품목 1과 상위품목 2에서 모두 사용되므로, 각각의 소요량을 계산하여 더해줘야 한다.
상위품목 1에서는 부품 H가 10개당 5개씩 필요하므로, 50개의 제품 X를 만들기 위해서는 10으로 나눈 후 5를 곱해줘야 한다. 따라서 상위품목 1에서 필요한 부품 H의 소요량은 10으로 나눈 5의 값인 25개이다.
상위품목 2에서는 부품 H가 5개당 10개씩 필요하므로, 50개의 제품 X를 만들기 위해서는 5로 나눈 후 10을 곱해줘야 한다. 따라서 상위품목 2에서 필요한 부품 H의 소요량은 5로 나눈 10의 값인 20개이다.
따라서 부품 H의 총 소요량은 25개 + 20개 = 45개이다.
하지만, 부품 H는 최소 주문 수량이 100개이므로, 100개 단위로 주문해야 한다. 따라서 부품 H의 최종 소요량은 100으로 나눈 후 올림한 값인 3 * 100 = 300개이다.
따라서 정답은 "2,950개"가 된다.
상위품목 1에서는 부품 H가 10개당 5개씩 필요하므로, 50개의 제품 X를 만들기 위해서는 10으로 나눈 후 5를 곱해줘야 한다. 따라서 상위품목 1에서 필요한 부품 H의 소요량은 10으로 나눈 5의 값인 25개이다.
상위품목 2에서는 부품 H가 5개당 10개씩 필요하므로, 50개의 제품 X를 만들기 위해서는 5로 나눈 후 10을 곱해줘야 한다. 따라서 상위품목 2에서 필요한 부품 H의 소요량은 5로 나눈 10의 값인 20개이다.
따라서 부품 H의 총 소요량은 25개 + 20개 = 45개이다.
하지만, 부품 H는 최소 주문 수량이 100개이므로, 100개 단위로 주문해야 한다. 따라서 부품 H의 최종 소요량은 100으로 나눈 후 올림한 값인 3 * 100 = 300개이다.
따라서 정답은 "2,950개"가 된다.